на корабле в тумане подают сигналы включая ультразвуковую сирену на каком расстояние
На корабле в тумане подают сигналы, включая ультразвуковую серену?
На корабле в тумане подают сигналы, включая ультразвуковую серену.
На каком расстоянии находится препятствие, если эхо услышали через 0, 1 с?
Скорость ультразвука в воздухе равноа примерно 3500 м / с.
А) 175 м б) 350 м в) 35000 м г) 17, 5 м.
3500 м / с * 0, 1 с = 350 м
Что бы четко услышать эхо, надо чтобы между произносимым и отраженным звуком была пауза не менее 0, 1 с?
Что бы четко услышать эхо, надо чтобы между произносимым и отраженным звуком была пауза не менее 0, 1 с.
Чему должно быть равно расстояние до препятствия, чтобы указанное условие выполнилось?
(Скорость звука в воздухе 340 м / c).
На каком расстоянии от корабля находится айсберг, если посланный гидролокатором ультразвуковой сигнал был принят обратно через 2, 8 с?
На каком расстоянии от корабля находится айсберг, если посланный гидролокатором ультразвуковой сигнал был принят обратно через 2, 8 с?
Скорость звука в воде принять равной 1500 м / с.
Рассчитайте расстояние до преграды, отражающей звук, если известно, что эхо туристы услышали через 2с.
Помогите пожалуйста очень срочно?
Помогите пожалуйста очень срочно!
На каком расстоянии от корабля находится айсберг, если посланный гидролокатором ультразвуковой сигнал, имеющий скорость 1500 м / с, вернулся назад через 5 с если можно подробно.
Через какое время Дима услышит эхо, если он находится на расстоянии 68 м от большого препятствия?
Через какое время Дима услышит эхо, если он находится на расстоянии 68 м от большого препятствия?
Скорость звука принять при температуре воздуха 15оС.
Эхо вызванное ружейным выстрелом охотник услышал через 4, 5с?
Эхо вызванное ружейным выстрелом охотник услышал через 4, 5с.
На каком расстоянии от него находится преграда?
(Скорость, звука принять за 340 м / с).
Летучая мышь ориентируется в пространстве, посылая ультразвуковые сигналы?
Летучая мышь ориентируется в пространстве, посылая ультразвуковые сигналы.
Каково расстояние до препятствия, если посланный сигнал вернулся к летучей мыши через 2 с?
Человек, хлопнувший в ладоши услышал эхо через время t = 2 с?
Человек, хлопнувший в ладоши услышал эхо через время t = 2 с.
На каком расстоянии s находится препятствие, отразившеу звук?
Скорость звука в воздухе V = 340 м \ с.
Совпадает с направлением силы, действующий на заряд, помещенной в эту точку.
1) частицы двигаются оочень быстро 2) ничего не изменилось.
Такое же. Напряжение на каждом резисторе и ток протекающие через каждый резистор при таком переключении не изменятся.
1)А 2)D Мне кажется ілі будет вот так 3)B 4)E 5)A.
140 км / ч = 140 * 1000 / 3600 = 38, 9м / с Формула пути через скорость и ускорение Так как при торможении у вас V = 0, то есть скорости нет, вы тормозите, то формула приобретает вид : Минуса пугаться не стоит, потому что он лишь говорит, что у вас..
На корабле в тумане подают сигналы, включая ультразвуковую серену. На каком расстоянии находится препятствие, если эхо услышали через 0,1 с? Скорость
ультразвука в воздухе равноа примерно 3500 м/с.
3500 м/с * 0,1 с = 350 м
Я думаю б)
Так как:
t=0.1c
v=3500m/c
S=vt
Соответственно:
3500м/с * 0,1с=350 м
Другие вопросы из категории
Спектры дифракционной решетки, имеющей N0 = 100 штрихов на 1 мм, проектируются на экран, расположенный параллельно решетке на расстоянии 1,8 м от нее. Определить длину волны монохроматического света, падающего на решетку, если расстояние от спектра второго порядка до центральной светлой полосы составляет 21,4 см. Сколько максимумов дает эта решетка?
С решением. подробно
Читайте также
1).На каком расстоянии находился танк, если пуля, выпущенная солдатом из противотанкового ружья со скоростью 3600км/ч, настигла его через 0,5с?
После создания атомных подводных лодок, встал вопрос как долго лодка может находиться под водой и с какой скоростью перемещаться.
2). В 1966 году атомная подводная лодка впервые в мире осуществила кругосветное плавание под водой и за 45 дней ни разу не поднялись на поверхность океана, прошла около 40000км.
С какой скоростью она двигалась?
ускорением 5м/с2. С каким ускорением под действием этой силы будут двигаться оба тела, если их соединить вместе?
2. Груз массой 5 кг, привязанный к невесомой нерастяжимой нити, поднимают вверх с ускорением 3 м/с2. Определите силу натяжения нити.
3.Автомобиль массой 3,2 т движется по горизонтальному пути со скоростью 54 км/ч. На каком расстоянии автомобиль остановится, если при торможении сила трения равна 45 кН?
переместился на 1,2 м? Проскальзывания между полом, катками и сундуком нет.
На корабле в тумане подают сигналы, включая ультразвуковую серену. На каком расстоянии находится препятствие, если эхо услышали через 0,1 с? Скорость
ультразвука в воздухе равноа примерно 3500 м/с.
3500 м/с * 0,1 с = 350 м
Я думаю б)
Так как:
t=0.1c
v=3500m/c
S=vt
Соответственно:
3500м/с * 0,1с=350 м
Другие вопросы из категории
Спектры дифракционной решетки, имеющей N0 = 100 штрихов на 1 мм, проектируются на экран, расположенный параллельно решетке на расстоянии 1,8 м от нее. Определить длину волны монохроматического света, падающего на решетку, если расстояние от спектра второго порядка до центральной светлой полосы составляет 21,4 см. Сколько максимумов дает эта решетка?
С решением. подробно
Читайте также
1).На каком расстоянии находился танк, если пуля, выпущенная солдатом из противотанкового ружья со скоростью 3600км/ч, настигла его через 0,5с?
После создания атомных подводных лодок, встал вопрос как долго лодка может находиться под водой и с какой скоростью перемещаться.
2). В 1966 году атомная подводная лодка впервые в мире осуществила кругосветное плавание под водой и за 45 дней ни разу не поднялись на поверхность океана, прошла около 40000км.
С какой скоростью она двигалась?
ускорением 5м/с2. С каким ускорением под действием этой силы будут двигаться оба тела, если их соединить вместе?
2. Груз массой 5 кг, привязанный к невесомой нерастяжимой нити, поднимают вверх с ускорением 3 м/с2. Определите силу натяжения нити.
3.Автомобиль массой 3,2 т движется по горизонтальному пути со скоростью 54 км/ч. На каком расстоянии автомобиль остановится, если при торможении сила трения равна 45 кН?
переместился на 1,2 м? Проскальзывания между полом, катками и сундуком нет.
Анизотропия при распространении поверхностных волн. Действие ударных волн на биологические ткани
Для количественной оценки степени выраженности акустической анизотропии используется коэффициент механической анизотропии, который вычисляется по формуле:

2. Действие ударных волн на биологические ткани. Во многих случаях воздействия на биологические ткани (органы) необходимо учитывать возникающие при этом ударные волны.
Так, например, ударная волна возникает при ударе тупым предметом по голове. Поэтому при проектировании защитных касок заботятся о том, чтобы погасить ударную волну и предохранить затылок при лобовом ударе. Этой цели и служит внутренняя лента в каске, которая на первый взгляд кажется необходимой лишь для вентиляции.
Ударные волны возникают в тканях при воздействии на них высокоинтенсивного лазерного излучения. Часто после этого в коже начинают развиваться рубцовые (или иные) изменения. Это, например, имеет место в косметологических процедурах. Поэтому, для того чтобы снизить вредное воздействие ударных волн, необходимо заранее рассчитывать дозирование воздействия с учетом физических свойств как излучения, так и самой кожи.

Ударные волны используются в радиальной ударно-волновой терапии. На рис. 2.5 показано распространение радиальных ударных волн от аппликатора.
Основные понятия и формулы




1. На корабле включают сирену, подающую сигналы в тумане, и спустя t = 6,6 с слышно эхо. Как далеко находится отражающая поверхность? Скорость звука в воздухе v = 330 м/с.
За время t звук проходит путь 2S: 2S = vt →S = vt/2 = 1090 м. Ответ: S = 1090 м.
2. Каков минимальный размер предметов, положение которых могут определить летучие мыши с помощью своего сенсора, имеющего частоту 100 000 Гц? Каков минимальный размер предметов, которые могут обнаружить дельфины с использованием частоты 100 000 Гц?
Минимальные размеры предмета равны длине волны:
λ1= 330 м/с / 10 5 Гц = 3,3 мм. Таков примерно размер насекомых, которыми питаются летучие мыши;
λ2= 1500 м/с / 10 5 Гц = 1,5 см. Дельфин может обнаружить небольшую рыбку.
S = vзвt = 330x8 = 2640 м. Ответ: 2640 м.
4. Две звуковые волны имеют одинаковые характеристики, за исключением того, что длина волны одной в два раза больше, чем у другой. Которая из них переносит большую энергию? Во сколько раз?
Интенсивность волны прямо пропорциональна квадрату частоты (2.6) и обратно пропорциональна квадрату длины волны (ω= 2πv/λ).Ответ: та, у которой длина волны меньше; в 4 раза.
5. Звуковая волна, имеющая частоту 262 Гц, распространяется в воздухе со скоростью 345 м/с. а) Чему равна ее длина волны? б) За какое время фаза в данной точке пространства меняется на 90°? в) Чему равна разность фаз (в градусах) между точками, отстоящими друг от друга на 6,4 см?
в) Δφ= 360°s/λ= 360x0,064/1,32 = 17,5°. Ответ: а) λ= 1,32 м; б) t = T/4; в) Δφ= 17,5°.
В воздухе механическая волна является продольной и длина волны соответствует расстоянию между двумя ближайшими сгущениями (или разряжениями) молекул. Так как расстояние между сгущениями никак не может быть меньше размеров молекул, то заведомо предельным случаем следует считать d = λ.Из этих соображений имеем ν= v/λ= 3,3x10 12 Гц. Ответ: ν= 3,3x10 12 Гц.
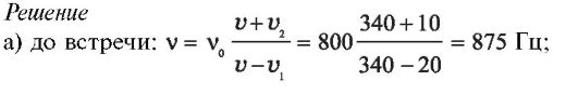
7. Две машины движутся навстречу друг другу со скоростями v1 = 20 м/с и v2 = 10 м/с. Первая машина подает сигнал с частотой ν0= 800 Гц. Скорость звука v = 340 м/с. Какой частоты сигнал услышит водитель второй машины: а) до встречи машин; б) после встречи машин?



По формуле (2.7) получим частоту звука. воспринимаемую человеком. Она неизменна:

На корабле в тумане подают сигналы, включая ультразвуковую серену. На каком расстоянии находится препятствие, если эхо услышали через 0,1 с? Скорость
ультразвука в воздухе равноа примерно 3500 м/с.
3500 м/с * 0,1 с = 350 м
Я думаю б)
Так как:
t=0.1c
v=3500m/c
S=vt
Соответственно:
3500м/с * 0,1с=350 м
Другие вопросы из категории
Спектры дифракционной решетки, имеющей N0 = 100 штрихов на 1 мм, проектируются на экран, расположенный параллельно решетке на расстоянии 1,8 м от нее. Определить длину волны монохроматического света, падающего на решетку, если расстояние от спектра второго порядка до центральной светлой полосы составляет 21,4 см. Сколько максимумов дает эта решетка?
С решением. подробно
Читайте также
1).На каком расстоянии находился танк, если пуля, выпущенная солдатом из противотанкового ружья со скоростью 3600км/ч, настигла его через 0,5с?
После создания атомных подводных лодок, встал вопрос как долго лодка может находиться под водой и с какой скоростью перемещаться.
2). В 1966 году атомная подводная лодка впервые в мире осуществила кругосветное плавание под водой и за 45 дней ни разу не поднялись на поверхность океана, прошла около 40000км.
С какой скоростью она двигалась?
ускорением 5м/с2. С каким ускорением под действием этой силы будут двигаться оба тела, если их соединить вместе?
2. Груз массой 5 кг, привязанный к невесомой нерастяжимой нити, поднимают вверх с ускорением 3 м/с2. Определите силу натяжения нити.
3.Автомобиль массой 3,2 т движется по горизонтальному пути со скоростью 54 км/ч. На каком расстоянии автомобиль остановится, если при торможении сила трения равна 45 кН?
переместился на 1,2 м? Проскальзывания между полом, катками и сундуком нет.








